The payment of $150K to Huffmaster to prepare for a strike isn’t the expense that hurt.
It should come right out of the paychecks of the negotiating team for DPS.
The union voted no confidence in the Superintendent, Rhonda Corr and the entire School board.
That hurts.
But, what is the real damage? The 100+ qualified, experienced teachers who left the district because they were tired of the shit show. Many of those are going to be very difficult to replace.
I have three documents to share. The first is a handout of what the board wanted to do back in January- consider it a refresher. Since all the discussions were secret until Corr and crew broke the law with their disclosure on Tuesday- the public really didn’t know what the board was pushing for.
241 proposed contract changes is unheard of. This was just the summary.
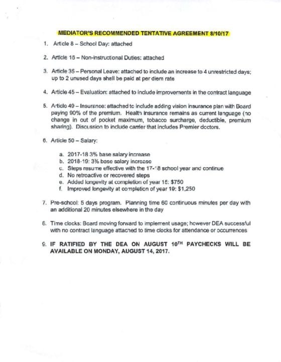
Next we have is the Mediator’s recommended tentative agreement that was submitted. The union gave a little- agreeing to let 3 years of steps slide- even though other districts were hiring away our teachers and honoring them all. This will come back to bite DPS in the butt in the future.
Pre School is going to 5 days- although how it will remain 5 star is a mystery. Half the staff is gone, and they are hard to replace.
The time clocks will be decorative toys for professional staff- you use them- but won’t be penalized by them. Very expensive ornamentation. Might hurt other unions a lot more- and probably rightfully so.
The paychecks that were threatened to be held hostage if a strike did occur- will now be issued Monday. The union could still sue for treble damages for the holds. This too, should come out of the negotiating teams paychecks.
And, lastly- we have the long contract. They printed it on blue paper to make it impossible to copy. Sorry- old trick- doesn’t work anymore, just annoys people.
I could have spent more time removing the blue- but- just gave you a machine transcribed PDF.
I’ve spent way too much time covering this mess. I’m not paid to do it. You can read it- and share what you think is pertinent.
The board has to ratify it on Tuesday. If they don’t- strike still happens.
Supposedly, everything is just peachy- and the standard non-retaliatory clauses are in. However, there were mad numbers of staff shuffles going on today- as if the disruption of downtown will never cease.
The DEA chief, David Romick, has no idea why all of a sudden, at 3am, the board flipped a switch. And we may never know. Just know, that no superintendent has ever kept their job after a strike.
There are 10 candidates who filed to run for 4 seats. If all petitions are approved, that’s more than enough to fill all 7- and be an improvement (only 9 to choose from really, because one is Joe Lacey, who doesn’t deserve to be re-elected after partaking in this destruction of the district.).
In the end, no one won this battle. We all lost. Smart people will look back at the last year and see the writing has been on the wall the whole time.
This all sits squarely with the seven people who approved these decisions: Dr. Adil Baguirov, Joe Lacey, Ron Lee, John McManus, Sheila Taylor, Dr. Hazel Rountree and Dr. Robert Walker. The question is, who will take responsibility?

I had been hoping for a strike – followed by rioting in the streets. Effigies of the Board & Superintendent burned. Marches onto the downtown offices. Basically the whole system burned to the ground to be reconstructed by the teachers and community… if at all. *I* will NOT be running for the Board after all. Fyre conversations with people while getting the signatures for the paperwork, I realized there is no hope for DPS. Maybe if the current board were to collectively fall on their swords, and the amount of degenerate kids and their equally imbecilic parents clogging up the works were removed or dropped… maybe… but I still doubt it.
I know a lot of good people have tried to do a lot of good things – but, in the end, it’s just been a waste of time, energy & money. I hope it all burns.
I feel this way because I’ve been in the schools. I’ve talked at Board meetings. I’ve seen the horrendous presentations and heard the ridiculous discussions from PhDs that I would have expected from first year Sinclair students. Every reprobate posting comments about “greedy teachers” or lamenting “poor students” need to get off their ass and get into a classroom. It’s not hard. And when those “smiling eager faces” of the DPS students insult you, walk out of the classroom whenever they feel like it, and make a wreck of everything because there is no discipline of any kind — trust and believe that it is all because there is NO discipline or forward thinking from the top: and shit rolls downhill.
I taught for 22 years in Dayton, by choice. I loved my students, and took great pleasure in seeing the growth they achieved. I did not take great pleasure in the continual concessions granted to the district when contracts were negotiated. Every single contract. The district never had enough money, period, yet operating levies were/are verboten, even though most districts in the area float a levy every few years to meet operating expenses, especially teacher salaries. These districts have figured out that to get the most qualified teachers, you have to pay them.
Not acknowledging lost steps, a mere 3% raise and the status quo for health insurance is not really a win for the teaching staff. A strike would have been a loss for the students, a financial loss for the teaching staff and resulted in even more community enmity for those “greedy” teachers. The only true winners are the districts that will have even more of Dayton’s best educators on their staff. at pay that reflects the hard work and education that is required to be an educator in this day and age. I can only hope that the new board members will be able to see what a debacle this current administration has created, and act accordingly.
With all due respect, this isn’t a done deal until the Board approves it on Tuesday.